Ответы
Ответ дал:
0
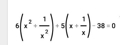
x+1/x=t ;x≠0
(x+1/x)²=x²+2*x*1/x+1/x²=
x²+2+1/x²=t²
x²+1/x²=t²-2
6(t²-2)+5t-38=0
6t²-12+5t-38=0
6t²+5t-50=0
D=25+1200=1225=35²
t=(-5±35)/12
t1=-40/12=-10/3
t2=30/12=10/4
1)x+1/x=-10/3
3х²+3+10х=0
3х²+10х+3=0
Д=100-36=64=8²
х=(-10±8)/6
х1=-3;х2=-1/3
2)x+1/x=5/2
2х²+2-5х=0
2х²-5х+2=0
Д=25-16=9=3²
х=(5±3)/4
х3=2;х4=1/2
(x+1/x)²=x²+2*x*1/x+1/x²=
x²+2+1/x²=t²
x²+1/x²=t²-2
6(t²-2)+5t-38=0
6t²-12+5t-38=0
6t²+5t-50=0
D=25+1200=1225=35²
t=(-5±35)/12
t1=-40/12=-10/3
t2=30/12=10/4
1)x+1/x=-10/3
3х²+3+10х=0
3х²+10х+3=0
Д=100-36=64=8²
х=(-10±8)/6
х1=-3;х2=-1/3
2)x+1/x=5/2
2х²+2-5х=0
2х²-5х+2=0
Д=25-16=9=3²
х=(5±3)/4
х3=2;х4=1/2
Ответ дал:
0
ясно
Ответ дал:
0
уже понятно откуда. -12?
Ответ дал:
0
Я ПОНИЛА ОТКУДАА
Ответ дал:
0
Мы 6 умножили на 2 и получилось 12
Ответ дал:
0
ЭЛЕМЕНТАРНОО
Вас заинтересует
3 года назад
9 лет назад
9 лет назад
10 лет назад
10 лет назад