Прошу вас решите оба , я напрочь забыла тему , а спросить не у кого пожалуйста , поставлю сколько дадут балов номер 5 и шесть
Приложения:

Ответы
Ответ дал:
0
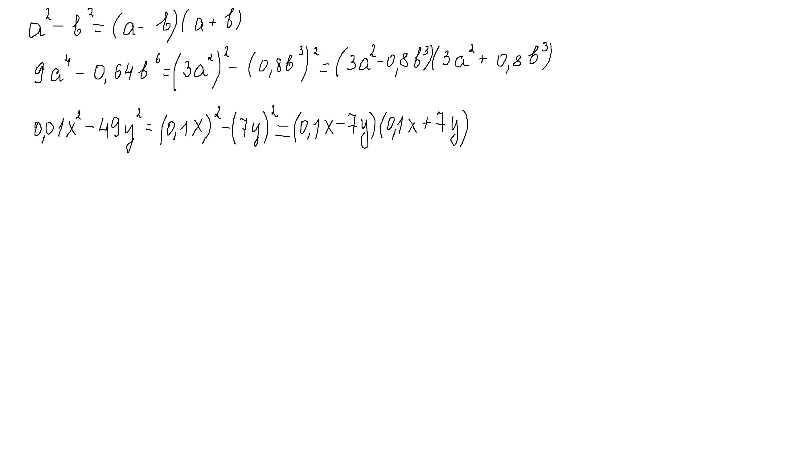
Ответ:
Пошаговое объяснение:
(3a^2-0,8b^3)(3a^2+0,8b^3)
(0,1x-7y)(0,1x+7y)
Ответ дал:
0
Ответ:
применяем формулу сокращенного умножения-разность квадратов
Приложения:

Вас заинтересует
2 года назад
3 года назад
3 года назад
8 лет назад
9 лет назад