• Предмет: Алгебра
  • Автор: Попроошайка
  • Вопрос задан 8 лет назад

Найти пределы функции!! 80 баллов! Прошу!!
если можно, поподробней..

Приложения:

Ответы

Ответ дал: ksenn4ik
0

Тогда будет такое решение.

Приложения:
Ответ дал: gleb1818
0

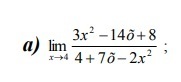
если получается неопределённость, надо дробь попытаться сократить.

3х² -14х + 8 = 3(х -4)(х - 2/3) =(х-4)(3х -2)

корни  х₁₎₂ = (7+-√(49 -24) )/3 = 4 ; 2/3

4 +7х -2х² = -2(х -4)(х +1/2) = (х-4)(-2х -1)

корни х₁₎₂= (-7+-√49 +32) )-4 = 4 ; -1/2

дробь сокращается на  (х-4). Осталось в результат вместо х подставить 4 и вычислить .

Ответ : -4/9

Приложения:
Ответ дал: gleb1818
0
ошибся . ответ: -10/9
Вас заинтересует