• Предмет: Алгебра
  • Автор: zhaksygeldin01
  • Вопрос задан 8 лет назад

Помогите решить 3 задачи с логарифмом

Приложения:

Ответы

Ответ дал: LFP
0

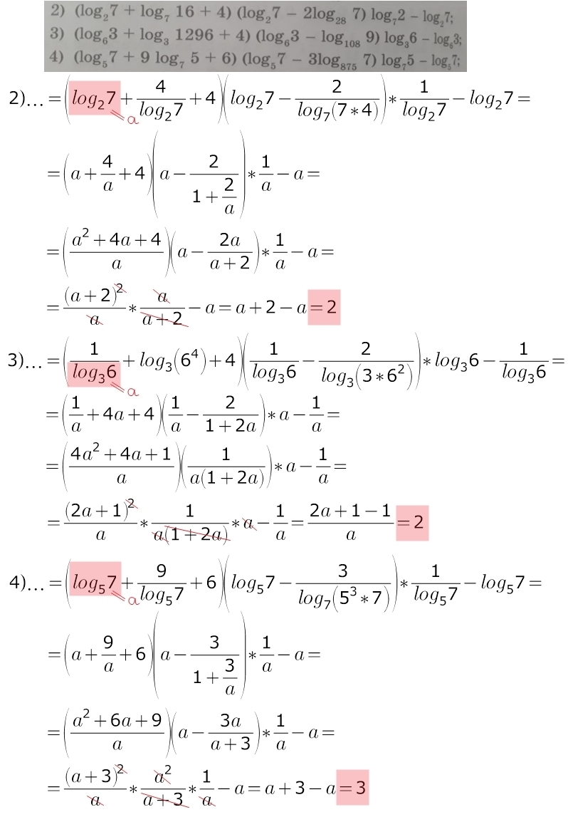
алгоритм решения всех трех примеров одинаковый...

очень удобно ввести замену, иначе алгебраические преобразования будет трудно увидеть...

Приложения:
Ответ дал: zhaksygeldin01
0
Спасибо большое что разъяснили!
Вас заинтересует