• Предмет: Математика
  • Автор: ioyakovenko
  • Вопрос задан 8 лет назад

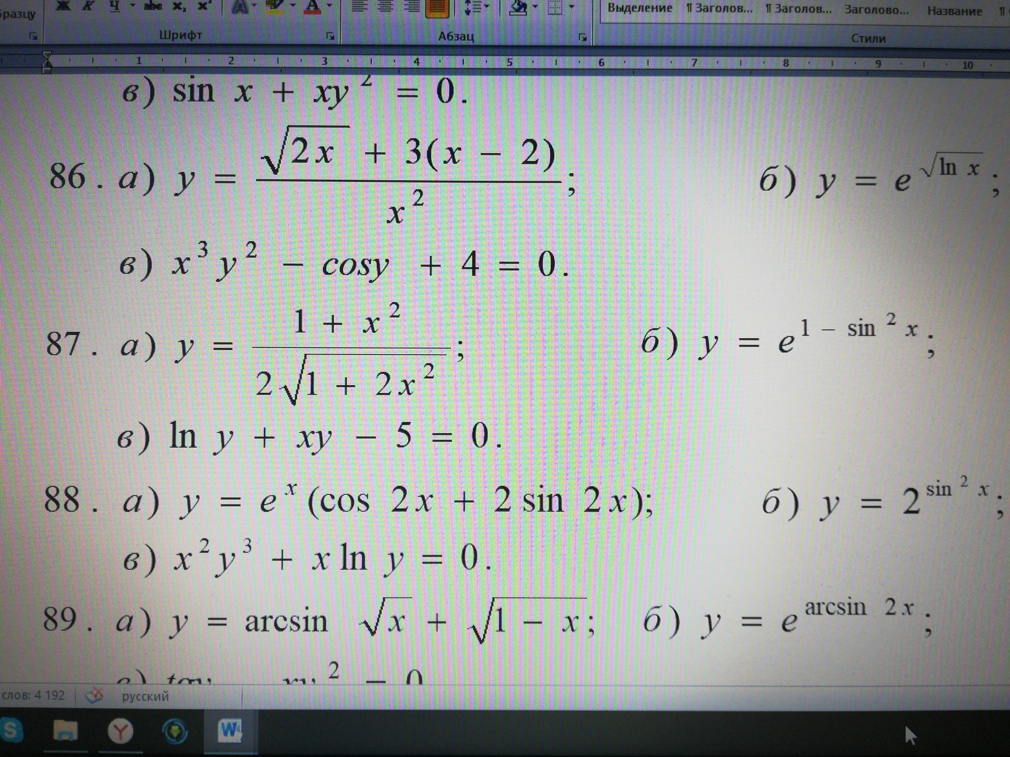
30 балловСпасите!!!!! Помогите!!!!!!!!! Найти производные функций. Задание 87

Приложения:

Ответы

Ответ дал: natalyabryukhova
0

Ответ:


Пошаговое объяснение:


Приложения:
Вас заинтересует