• Предмет: Алгебра
  • Автор: Авдекюша
  • Вопрос задан 8 лет назад

Помогите решить пожалуйста

Приложения:

Ответы

Ответ дал: drama46
0

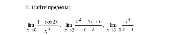
По правилу Лопиталя:

(1 - cos2x)/x² => 2sinx/2x => 2cosx/2 => cosx.

При х --->0 данное выражение стремится к cos0 = 1.

Ответ: 1.

-----------------------

(x² - 5x + 6)/(x - 2) => 2x - 5.

При х ---->2 данное выражение стремится к 2*2 - 5 = -1.

Ответ: - 1.

Вас заинтересует