просто напишите ответы под каждой буквой. Спасибо
а) 3/4 * 2/9
б) 12/13 *13/15
в) 8/21 * 7/10
г) 7/5 * 15/14
д) 8/15 * 25/28
е) 2/15 * 5/22
Ответы
Ответ дал:
0
Д) не смогла не получилось уверена что правильно
Приложения:
Ответ дал:
0
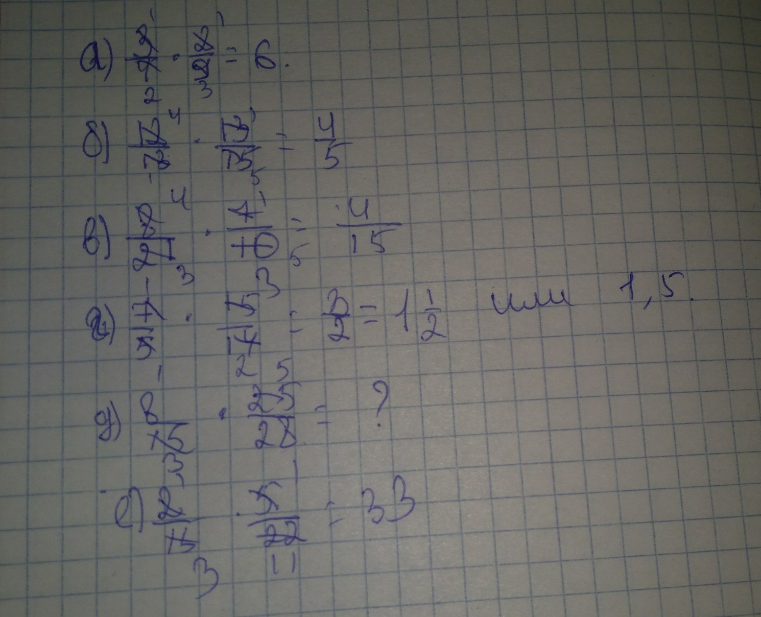
А) 1/6
Б) 4/5
В) 4/15
Г) 3/2 = 1 1/2
Д) 20/21
Е) 1/33
Б) 4/5
В) 4/15
Г) 3/2 = 1 1/2
Д) 20/21
Е) 1/33
Приложения:
Вас заинтересует
2 года назад
2 года назад
3 года назад
9 лет назад
10 лет назад