• Предмет: Математика
  • Автор: Roniyvernis
  • Вопрос задан 8 лет назад

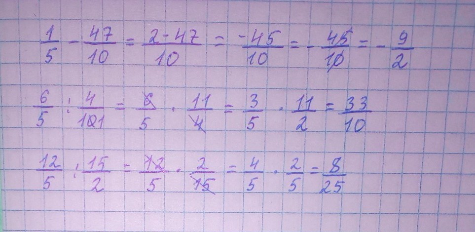
найдите значение выражения
 frac{1}{5}  -   frac{47}{10}
 frac{6}{5}  div  frac{4}{11}
 frac{12}{5}  div  frac{15}{2}

Ответы

Ответ дал: Аноним
0
решение на рисунке показано
Приложения:
Ответ дал: Аноним
0
азиза
Ответ дал: 63553644
0
Ну все хватит
Ответ дал: aziza4823
0
майнкраафт
Ответ дал: Roniyvernis
0
да хареееееееееее
Ответ дал: aziza4823
0
это мой братик
Вас заинтересует