одна из сторон треугольника в 2 раза меньше второй и на 7 см меньше третьей. Найдите стороны треугольника,если его периметр равен 39 см. Решить с помощью уравнения.
Ответы
Ответ дал:
0
Ответ:
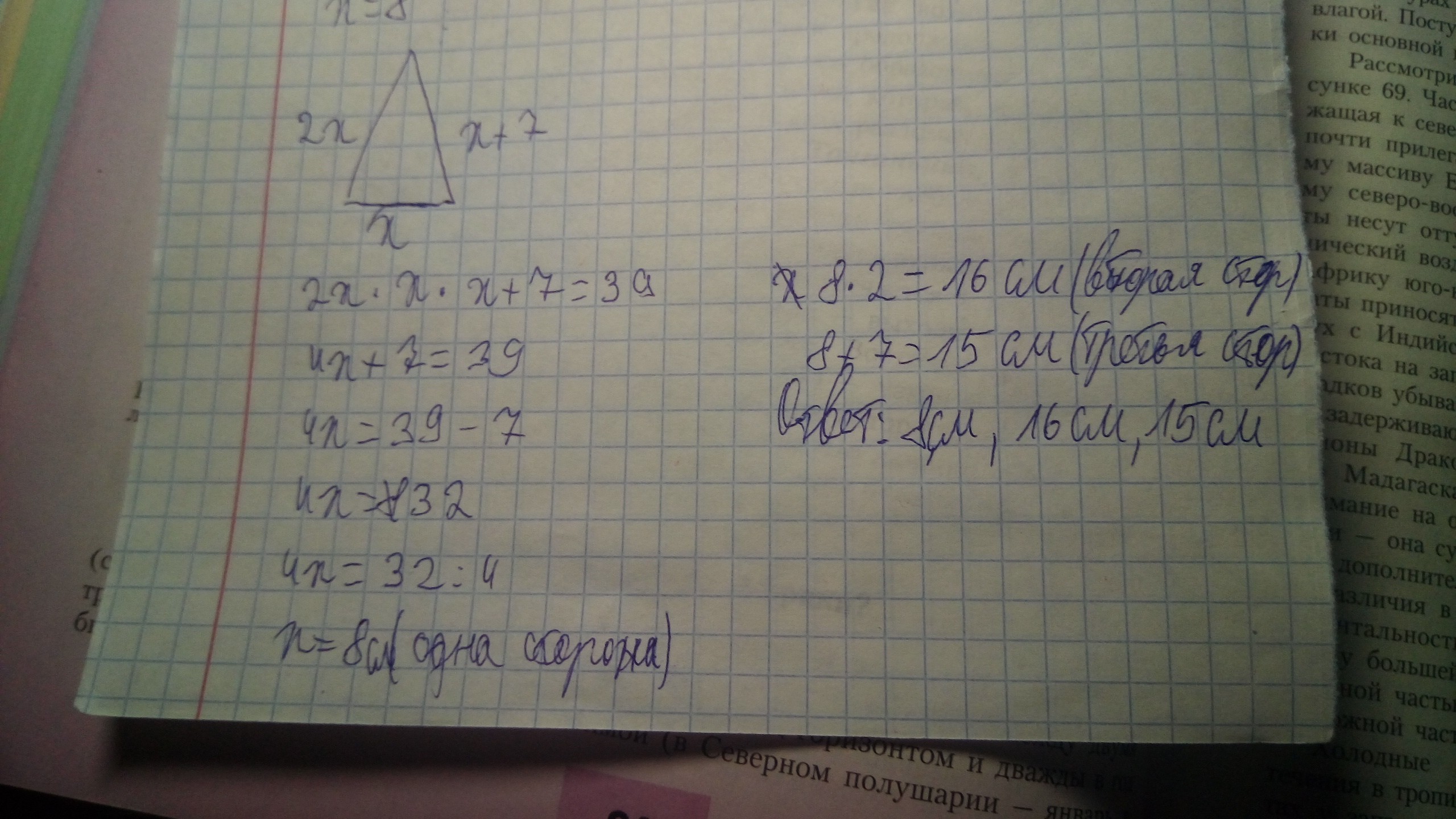
8 см, 16 см, 15 см.
Пошаговое объяснение:
Пусть одна сторона равна х см. Тогда вторая содержит 2х см, а третья х+7 см. Запишем уравнение:
х + 2х + х + 7 = 39, откуда х = 8 см.
Тогда вторая сторона равна 2*8 = 16 см, а третья 8 + 7 = 15 см.
Ответ дал:
0
Спасибо большое!
Ответ дал:
0
Пусть одна сторона x
Друга сторона 2x
Третья сторона x+7
Друга сторона 2x
Третья сторона x+7
Приложения:
Вас заинтересует
2 года назад
2 года назад
3 года назад
3 года назад
10 лет назад
10 лет назад