• Предмет: Математика
  • Автор: marishka21569
  • Вопрос задан 8 лет назад

Вопрос: 5 класс! 7 1/12 - (k - 1 1/3) = 4 17/36 СРОЧНО!

Ответы

Ответ дал: Lod2000
0

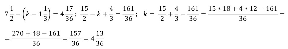
Ответ:

k = 4 13/36

Пошаговое объяснение:

см. вложение...................

Приложения:
Ответ дал: marishka21569
0
ОГРОМНОЕ спасибо!
Вас заинтересует