• Предмет: Алгебра
  • Автор: MrPainFeeD
  • Вопрос задан 8 лет назад

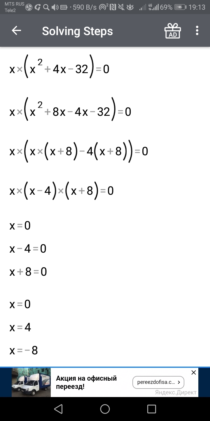
Помогите пожалуйста решить два уравнения много пропустил хотя бы знать как решаются , пожалуйста с полным решением. Первое надо решить вынесением общего множителя за скобки 1) х^3 + 4х^2-32х= 0 .Второе - способом группировки 2) х^3-10х^2+4х-40=0

Ответы

Ответ дал: ilavolk90
0

Пятёрок тебе в школе)

Приложения:
Вас заинтересует