• Предмет: Алгебра
  • Автор: xvostok1502
  • Вопрос задан 8 лет назад

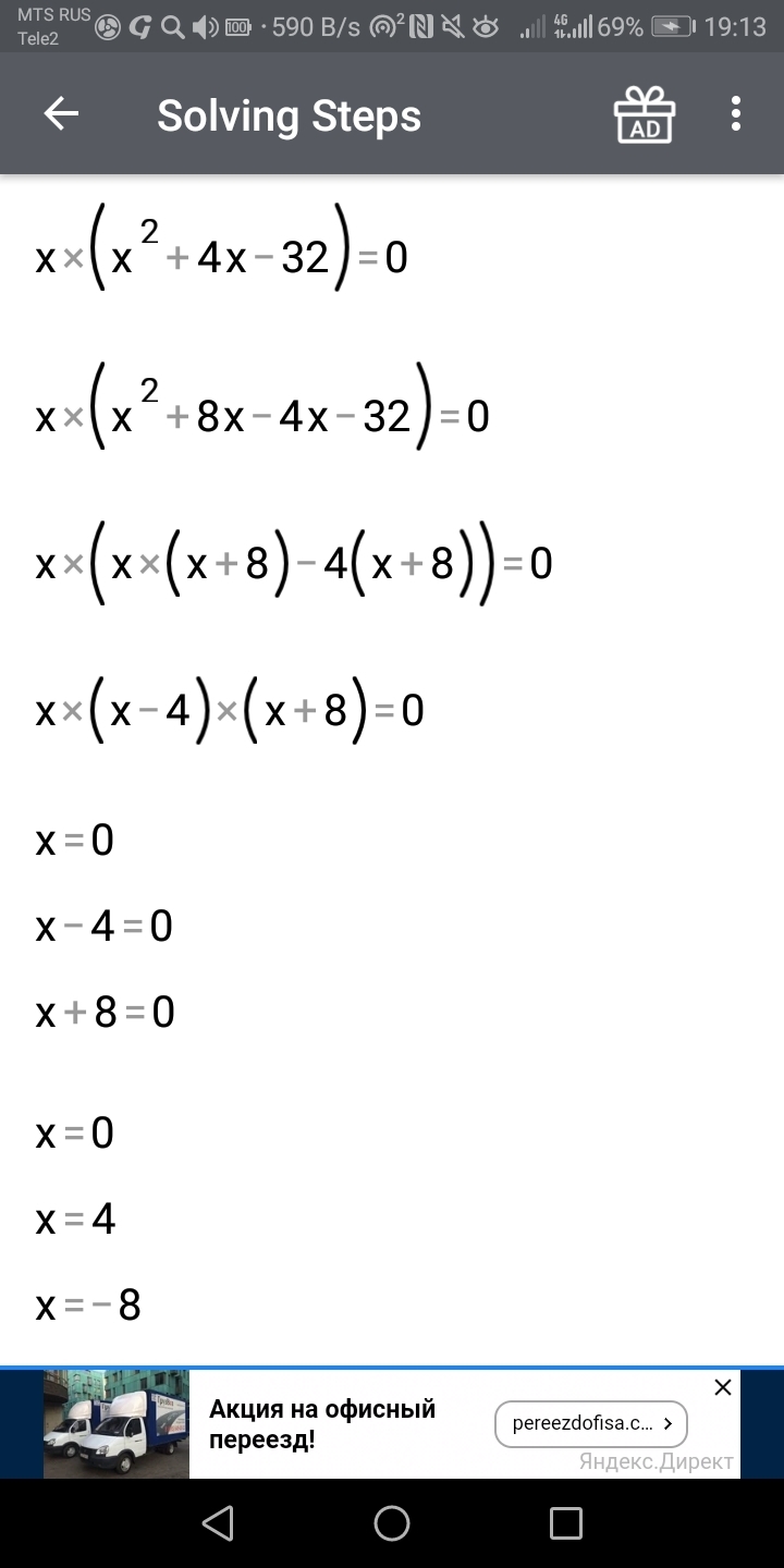
Помогите пожалуйста как решить уравнение с вынесением общего множителя за скобки пожалуйста с полным решением. Х^3+4х^2 -32х=0

Ответы

Ответ дал: ilavolk90
0

Держи) Только у каждой школы разные решения и я не знаю ваш способ

Приложения:
Ответ дал: xvostok1502
0
Только я ничего не понял что откуда чего взялось
Вас заинтересует