ПОЖАЛУЙСТААА!!!! ПОМОГИТЕ!!!!! ОЧЕНЬ НАДО!!!
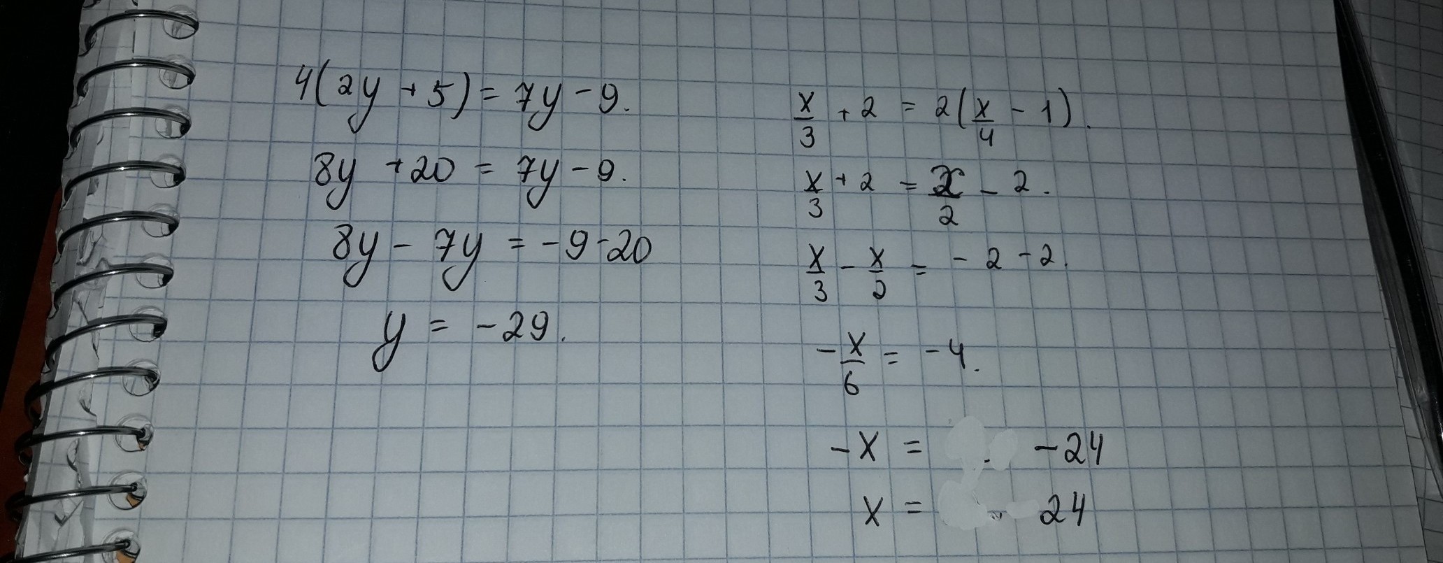
Решить уравнение x/3 + 2 = 2(x/4 - 1)
ЗАРАНИЕ СПАСИБО!
(задание 3)
Приложения:

Ответы
Ответ дал:
0
отвввееееееетттыыыыы
Приложения:

Ответ дал:
0
Спасибо Вам огромное!!!1
Ответ дал:
0
не за что!
Вас заинтересует
2 года назад
2 года назад
3 года назад
3 года назад
8 лет назад
8 лет назад
9 лет назад
9 лет назад