Ответы
Ответ дал:
0
отввввеееееттыыыыыыыыыы
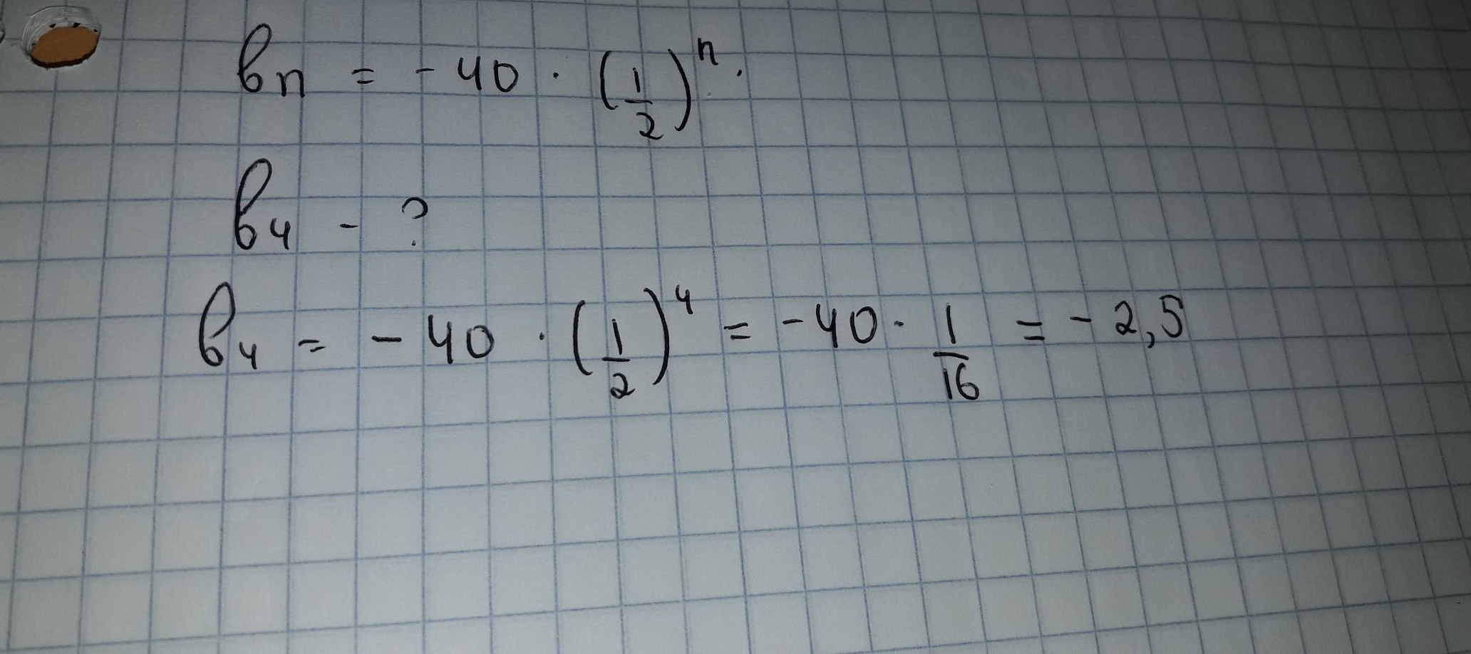
Приложения:

Ответ дал:
0
сссссссспппппппаааааассссиииииибббббоооо от души чувак
Ответ дал:
0
удачи в учебе )
Ответ дал:
0
Спасибо большое)))
Вас заинтересует
2 года назад
2 года назад
3 года назад
3 года назад
8 лет назад
9 лет назад
9 лет назад