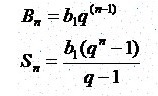
Напишите программу вычисления общего члена Bn и суммы Sn первых n членов геометрической прогрессии. Первый член прогрессии b1, знаменатель прогрессии q и число членов задаются с клавиатуры.
По этим формулам
Приложения:

Ответы
Ответ дал:
0
var bn,sn,b1,q,n:real;
begin
write('b1=');
read(b1);
write('q=');
read(q);
write('n=');
read(n);
bn:=b1*power(q,n-1);
sn:=(b1*(power(q,n)-1))/(q-1);
writeln('Bn=',bn);
writeln('Sn=',sn);
end.
Ответ дал:
0
отметьте пожалуйста как лучшее
Вас заинтересует
2 года назад
2 года назад
3 года назад
8 лет назад
9 лет назад