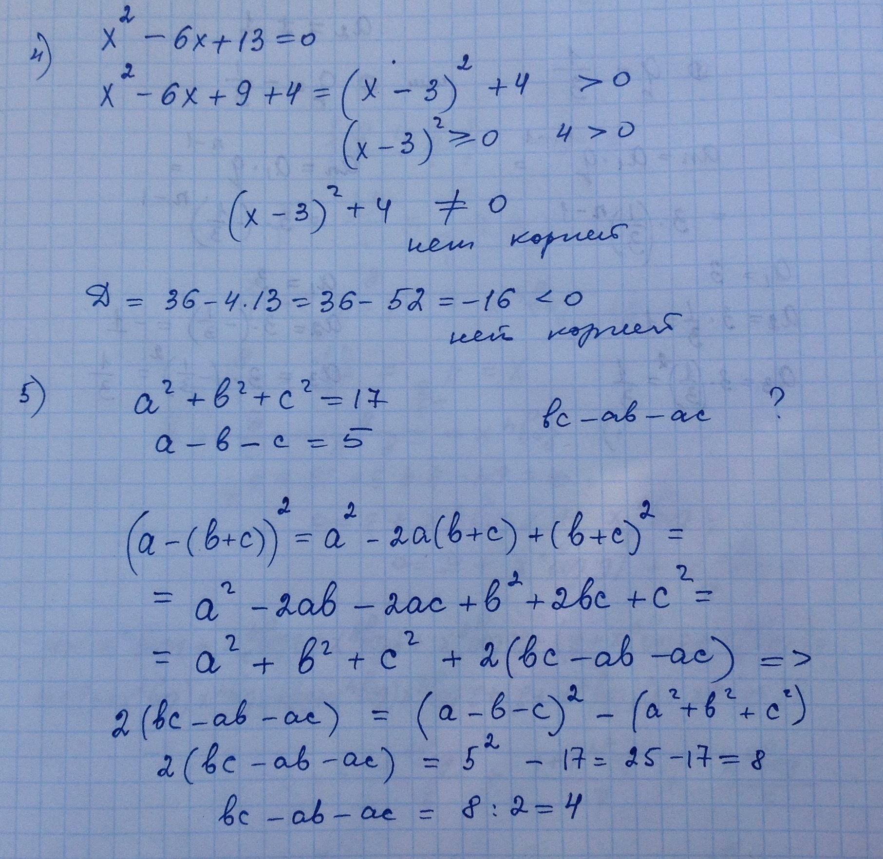
4. Докажите, что уравнение x2 − 6x + 13 = 0 не имеет корней.
5. Известно, что a2 + b2 + c2 = 17 и a − b − c = 5. Найдите значение выражения
bc − ab − ac.
Ответы
Ответ дал:
0
ответ на фото///////////////////
Приложения:
Вас заинтересует
2 года назад
2 года назад
3 года назад
3 года назад
9 лет назад
9 лет назад
10 лет назад