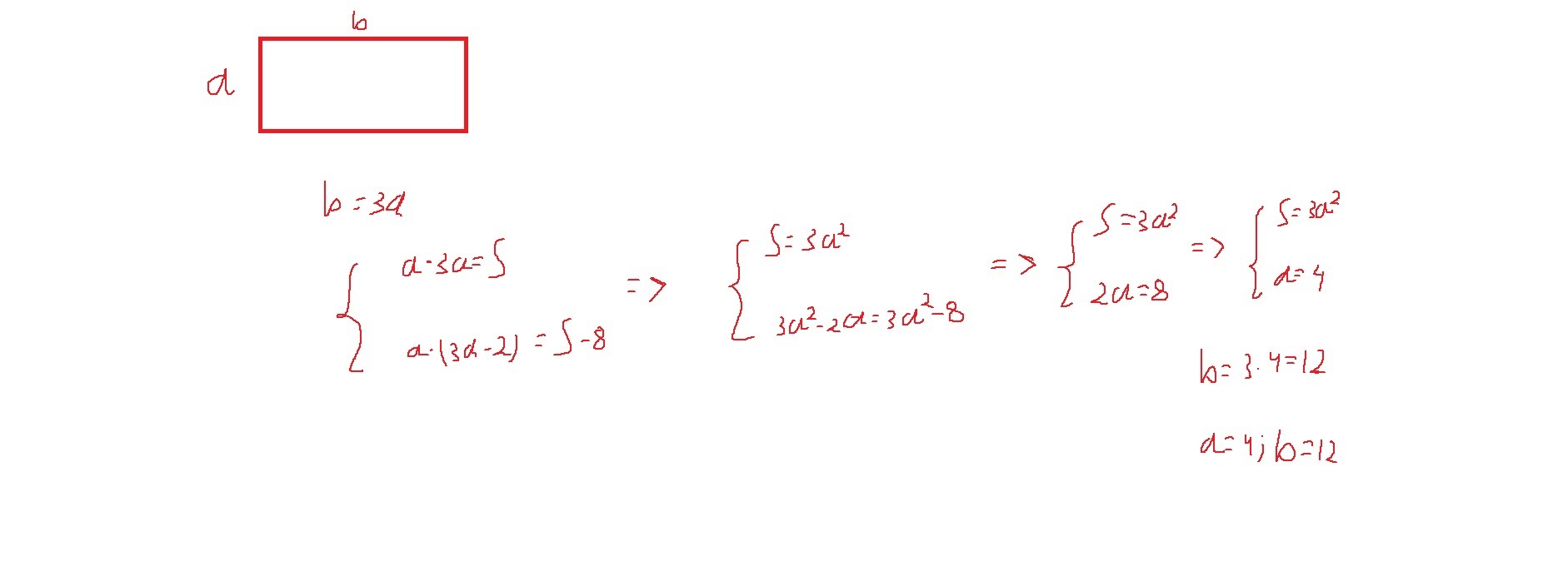
Ширина прямоугольника в 3 раза меньше его длины. Если длину прямоугольника уменьшить на 2 м, то его площадь уменьшится на 8 м2. Найти начальные длину и ширину прямоугольника. Помогите прошу!!!
Ответы
Ответ дал:
0
Решение в приложении ниже (a-ширина, а b-длина, будут вопросы по решению - задавай):
Приложения:

Ответ дал:
0
Я всё понял спасибо!
Вас заинтересует
2 года назад
3 года назад
8 лет назад
8 лет назад
9 лет назад