• Предмет: Математика
  • Автор: 4463372537735
  • Вопрос задан 8 лет назад

Разложите на множители (С ПОДРОБНЫМ ОБЪЯСНЕНИЕМ, ПОЖАЛУЙСТА)

х^4+4х²-у²+6у-5

Ответы

Ответ дал: Alexeич
0

Ответ:


Пошаговое объяснение:

Иксы и игреки распределяем по скобкам, а число оставляем на месте:

(х^4+4х^2)-(у^2-6у)-5

Выносим общий множитель за скобки:

х^2(х^2+4)-у(у-6)-5

Ну вроде всё


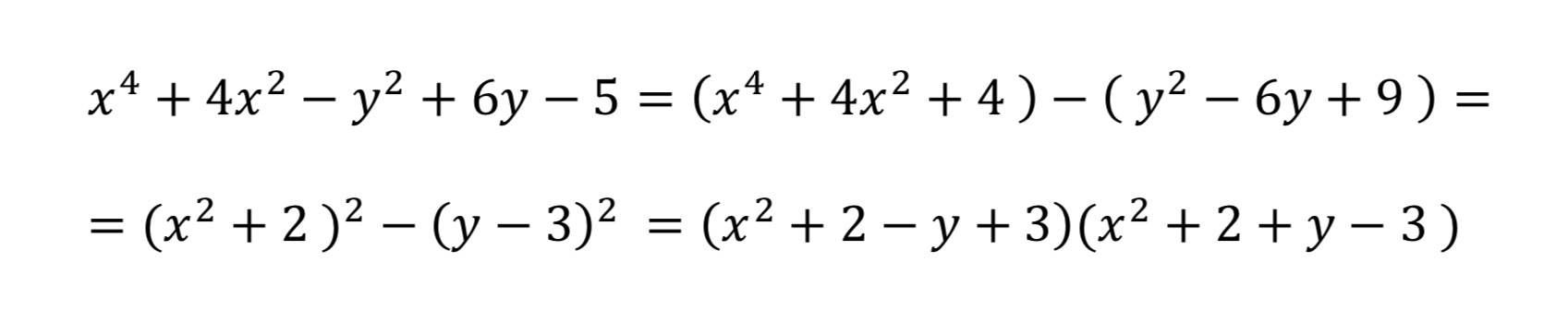
Ответ дал: antonovm
0

Ответ:


Пошаговое объяснение:


Приложения:
Вас заинтересует