• Предмет: Математика
  • Автор: alisa162013
  • Вопрос задан 8 лет назад

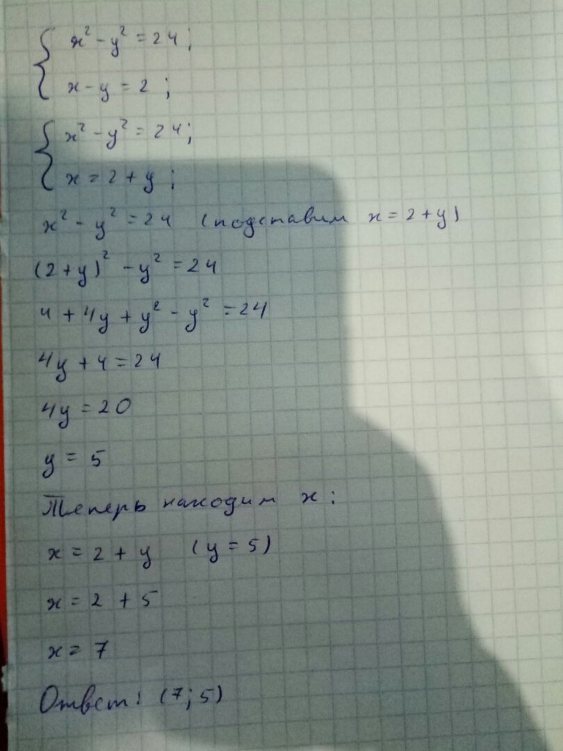
Решить систему уравнений
{x^2-y^2=24
{x-y=2

Ответы

Ответ дал: loltawon
0

Ответ:

(7;5)

Пошаговое объяснение:


Приложения:
Вас заинтересует