• Предмет: Алгебра
  • Автор: Saule789
  • Вопрос задан 8 лет назад

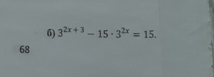
Помогите пожалуйста решить показательное уравнение

Приложения:

Ответы

Ответ дал: aleks88873
0

(3 {}^{3}  - 15) times 3 {}^{2}  x = 15
(27 - 15) times 3 {}^{2} x = 15
12 times 3 {}^{2} x = 15
3 {}^{2} x =  frac{5}{4}
2x = log3( frac{5}{4} )
x =  frac{1}{2}  times log3( frac{5}{4} )

Вас заинтересует