• Предмет: Алгебра
  • Автор: Аноним
  • Вопрос задан 8 лет назад

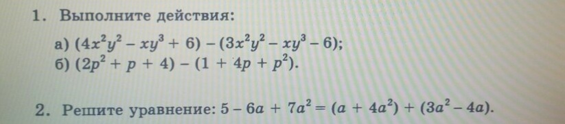
Помогите решить пожалуйста!!
Срочно!!!

Приложения:

Ответы

Ответ дал: Kri7947
0
То перший приклад зара буде другий
Приложения:
Вас заинтересует