Ответы
Ответ дал:
0
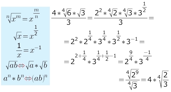
известны правила действий со степенями, если основания степени одинаковые--при умножении показатели степени складываются, при делении--вычитаются, при возведении в степень--перемножаются...
если основания степени разные, то можно только вынести одинаковый показатель степени за скобки...
любое число, кроме нуля, в нулевой степени =1
и иррациональные выражения можно записать в виде степени с дробным показателем степени...
и ответ может быть записан по-разному: степень с отрицательным показателем можно записать в виде обыкновенной дроби; степень с дробным показателем можно записать как корень...
Приложения:

Вас заинтересует
2 года назад
2 года назад
3 года назад
8 лет назад
9 лет назад