• Предмет: Математика
  • Автор: Aleksandra2606
  • Вопрос задан 8 лет назад

решите очень надо, срочно

Приложения:

Ответы

Ответ дал: gumbetovskij06
0

Ответ:

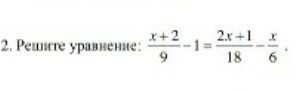
умножаем всю дробь на 18 чтоб избавиться от знаменателя

(х+2)*2-18=2х+1-3х

2х+4-18=-х+1

2х+х=14+1

3х=15

х=15:3

х=5


Пошаговое объяснение:


Ответ дал: Aleksandra2606
0
нет
Ответ дал: Aleksandra2606
0
а почему там пять
Ответ дал: Aleksandra2606
0
2х+1-3х
Ответ дал: gumbetovskij06
0
спасибо что исправила..... я спешила вот допустила ошибочку... сорри
Ответ дал: Aleksandra2606
0
ну ладно
Вас заинтересует