• Предмет: Математика
  • Автор: dreky322
  • Вопрос задан 8 лет назад

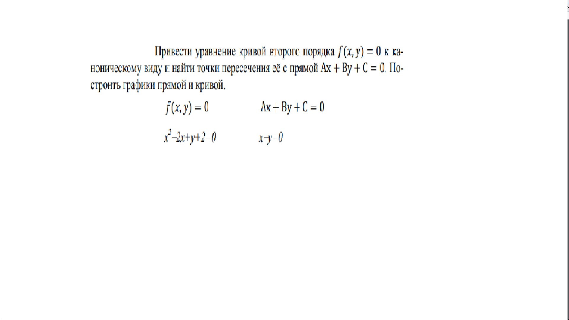
Кривая второго порядка

Приложения:

Ответы

Ответ дал: dnepr1
0

Выделяем полные квадраты:  

(x²-2*1x + 1) -1*1 = (x-1)²-1  

Преобразуем исходное уравнение:  

(x-1)² = -y -1  

Получили уравнение параболы:  

(x - x0)² = 2p(y - y0)  

(x-1)² = 2(-1/2)(y - (-1))  

Ветви параболы направлены вниз (p<0), вершина расположена в точке (x0, y0), т.е. в точке (1;-1)  

Параметр p = -1/2  

Координаты фокуса:  (1; (-5/4)).

Уравнение директрисы: y = y0 - p/2  

y = -1 - (-1/4) = -3/4.


Вас заинтересует