• Предмет: Математика
  • Автор: kazakhstan908090
  • Вопрос задан 8 лет назад

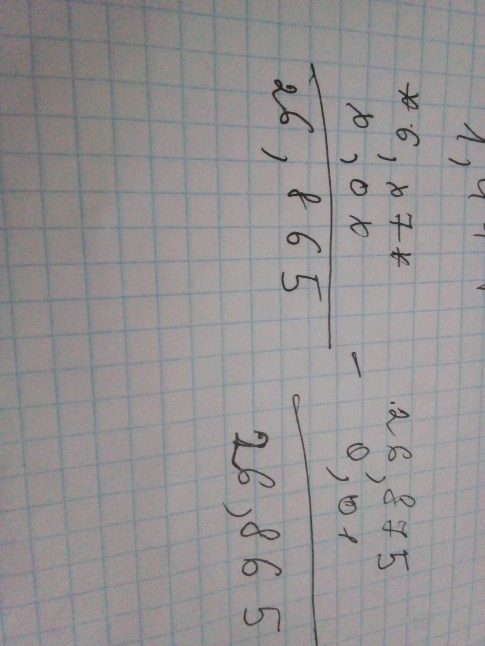
помогите пожалуйста. Кто не знает не писать!!!!!

Приложения:

Ответы

Ответ дал: ania66
0
подиввисььььььь)))))))
Приложения:
Ответ дал: ania66
0
там є на 3 відповідь смотри
Ответ дал: kazakhstan908090
0
можно по русски?
Ответ дал: kazakhstan908090
0
не очень понимаю украинский
Ответ дал: ania66
0
редагировала свой ответ,в нем ти знайдеш на 3 вопрос ответ
Ответ дал: kazakhstan908090
0
ок
Ответ дал: arsen157
0
мне кажется будит так
Приложения:
Вас заинтересует