• Предмет: Математика
  • Автор: vasya966
  • Вопрос задан 8 лет назад

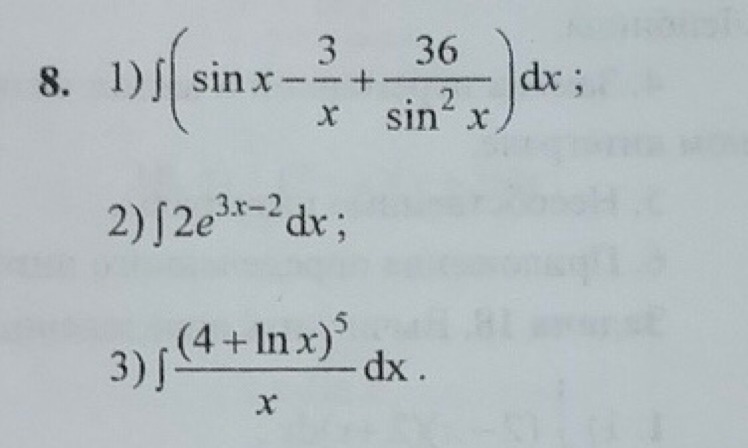
Распишите все 3 примера на листочке
Пожалуйста

Приложения:

Ответы

Ответ дал: natalyabryukhova
0

Ответ:


Пошаговое объяснение:


Приложения:
Вас заинтересует