• Предмет: Математика
  • Автор: Jacksoon95
  • Вопрос задан 8 лет назад

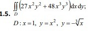
Всем доброго времени суток. Ищу помощь в решение. 98 баллов

Приложения:

Ответы

Ответ дал: natalyabryukhova
0

Ответ:


Пошаговое объяснение:


Приложения:
Вас заинтересует