Спасите! Химия
Напишите уравнения реакций, при помощи которых можно осуществить следующие превращения: (в фото)
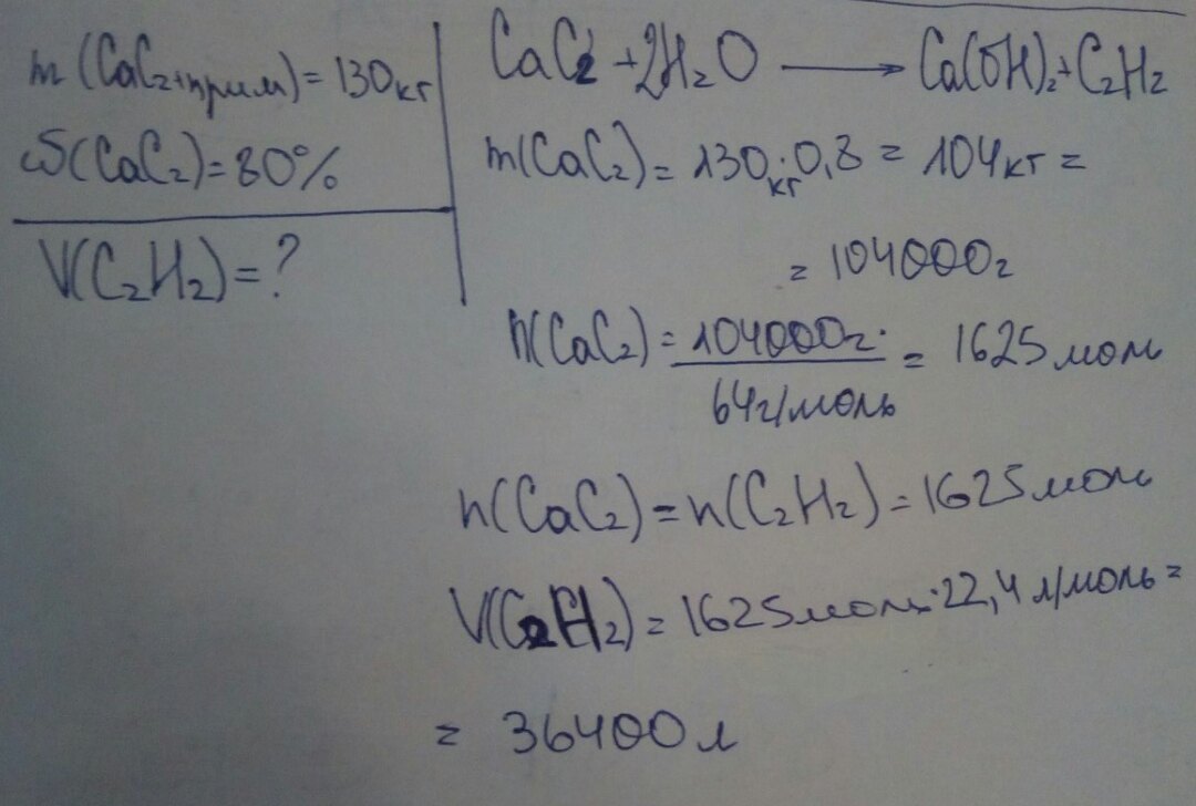
Приложения:

Ответы
Ответ дал:
0
добавила второе задание.
Приложения:


Ответ дал:
0
Если можешь, то да, пожалуйста
Ответ дал:
0
Буду очень благодарна
Ответ дал:
0
Супер! спс
Вас заинтересует
2 года назад
3 года назад
3 года назад
8 лет назад
9 лет назад