• Предмет: Физика
  • Автор: aselbashimova
  • Вопрос задан 8 лет назад

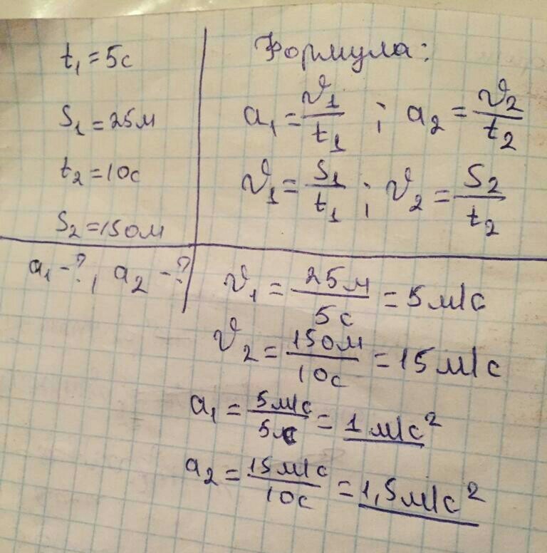
помогите решить пожалуйста

Приложения:

Ответы

Ответ дал: kattano51
0

Если надо найти среднюю скорость, то

U= S все : t все

U=(150м+25м) : (10с+5с) = 11.67м/с

Ответ дал: asylaiumitkalieva
0
Жауабы осылай шығады
Приложения:
Ответ дал: aselbashimova
0
неге екенин шыкпай тур менде
Ответ дал: asylaiumitkalieva
0
а я
Ответ дал: asylaiumitkalieva
0
қазр тусіндірем
Ответ дал: asylaiumitkalieva
0
жалпа а ны табу ушін екі мəнді бір біріне қому керек
Ответ дал: asylaiumitkalieva
0
яғни а=1,5+1=2,5м/с2
Вас заинтересует