• Предмет: Математика
  • Автор: ayzatasanova2
  • Вопрос задан 8 лет назад

33.3
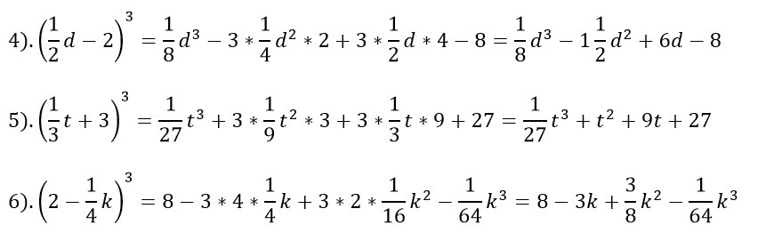
4,5,6
СРОЧНО+++

Приложения:

Ответы

Ответ дал: Lod2000
0

Ответ:


Пошаговое объяснение:

см. вложение.....................

Приложения:
Ответ дал: ayzatasanova2
0
СПС
Вас заинтересует