• Предмет: Геометрия
  • Автор: gulka96
  • Вопрос задан 11 лет назад

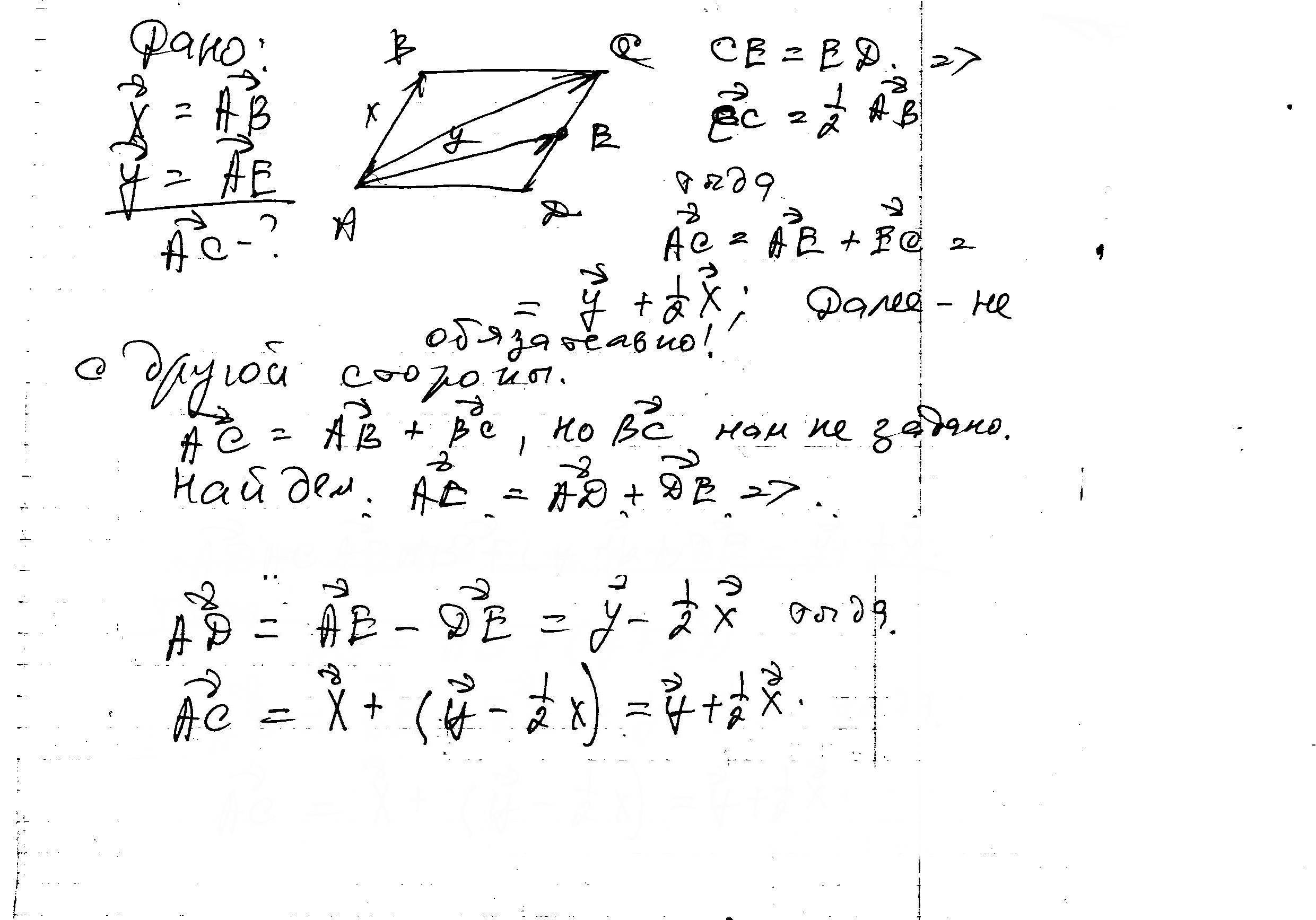
Точки P и E середины сторон BC и CD параллелограмма ABCD.Выразите вектор AC через векторы x=AB и y=AE?

Ответы

Ответ дал: ужнеужели
0
Задача с неполными условием. Точка Р лишняя. Мы  с коллегами решили усложнить ее, включив точку Р. Получилось красиво. Дополнение во втором листе.
Приложения:
Вас заинтересует