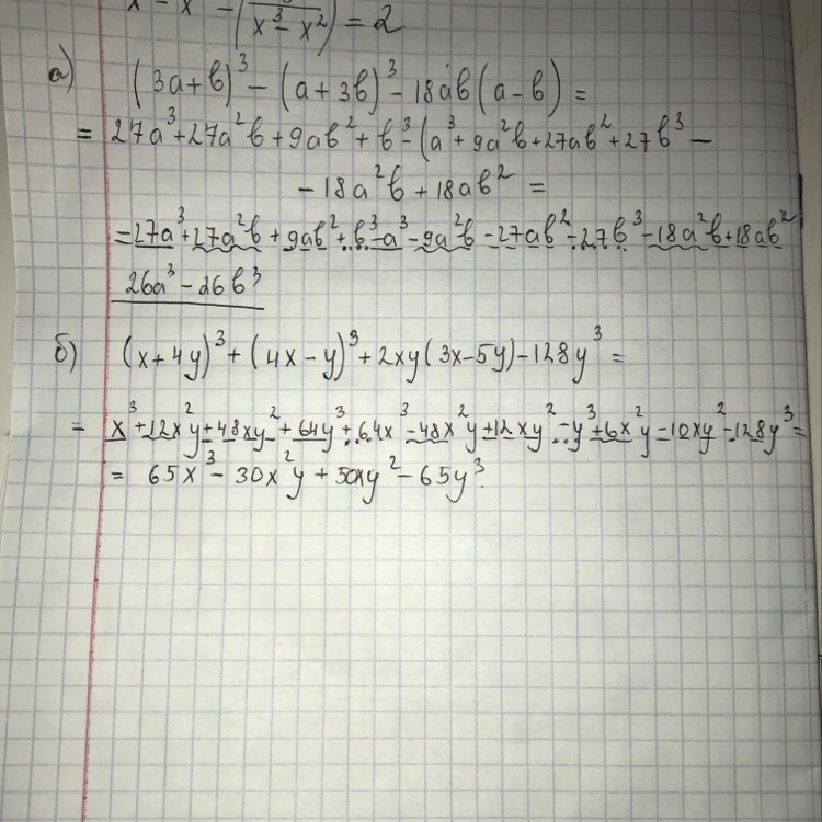
1)(3а+b)^3-(a+3b)^3-18ab(a-b)=26(a^3-b^3)
2)(х+4у)^3+(4х-у)^+12ху(3х-5у)-128у^3=65(х^3-у^3)
докажите тождество
Ответы
Ответ дал:
0
Думаю понятно)
Если есть вопросы пиши, и если не трудно, отметь как лучшее))
Если есть вопросы пиши, и если не трудно, отметь как лучшее))
Приложения:

Ответ дал:
0
спс выручил
Вас заинтересует
2 года назад
3 года назад
3 года назад
8 лет назад
8 лет назад
9 лет назад