Ребята срочно !Разложить на множители многочлен a(в квадрате) -3ab + 3a-9b и найти его числовое значение при a=1 , b =- 1/3
Ответы
Ответ дал:
0
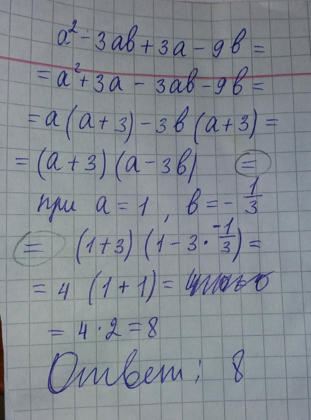
Решение на фотографии
Приложения:

Ответ дал:
0
во второй скобке 1+1=2
Ответ дал:
0
Ну да,я так и написала
Ответ дал:
0
a² -3ab + 3a - 9b =
= (a² -3ab) + (3a - 9b) =
= a·(a-3b) + 3·(a-3b) =
= (a-3b)·(a+3)
при a=1; b =- 1/3
(1-3·(-1/3))·(1+3) = (1+1)·(1+3) = 2 · 4 = 8
Приложения:

Вас заинтересует
2 года назад
2 года назад
3 года назад
8 лет назад
8 лет назад
9 лет назад