• Предмет: Математика
  • Автор: cruster25
  • Вопрос задан 8 лет назад

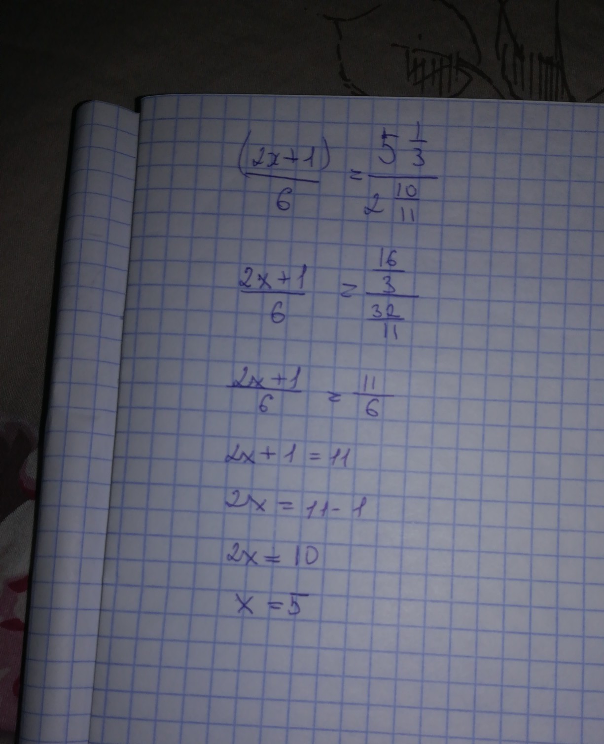
Решите пропорцию (2x+1):6=5 целых 1/3 : 2 целые 10/11. Подробно не только ответ.

Ответы

Ответ дал: melissa018
0
....................
Приложения:
Ответ дал: lolo4884
0

2х+1=6*5 1/3):2 10/11

Пошаговое объяснение:


Приложения:
Вас заинтересует