• Предмет: Алгебра
  • Автор: sahanikitina05
  • Вопрос задан 8 лет назад

уранение 7 класс( 20 баллов)

Приложения:

Ответы

Ответ дал: sherlok123321
0

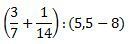
( frac{3}{7}  +  frac{1}{14} ) div (5.5 - 8) =  \  \ ( frac{3 times 2 + 1}{14} ) div ( - 2.5) =  \  \  frac{7}{14}   div  ( -  2.5) = 0.5 div ( - 2.5) =  - 0.2


Ответ: - 0.2
Вас заинтересует