• Предмет: Алгебра
  • Автор: vikhai75IL863
  • Вопрос задан 8 лет назад

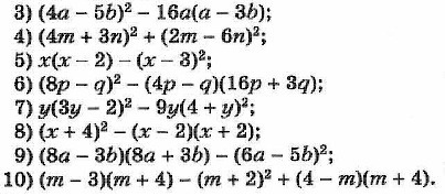
Упростите выражение.

Приложения:

Ответы

Ответ дал: danilaso
0

их тут много

попробуй сам

в помощь формулы :

(a+b)^2=a^2+2ab+b^2

(a-b)^2=a^2-2ab+b^2

(a+b)(c+d)=ac+bc+ad+bd

(a-b)(c+d)=ac-bc+ad-bd

(a-b)(c-d)=ac-bc-ad+bd

Ответ дал: vikhai75IL863
0
Я не формулы просил, а решение...
Вас заинтересует