• Предмет: Алгебра
  • Автор: Boris77777
  • Вопрос задан 11 лет назад

Помогите. Найдите область определения функции:

Приложения:

Ответы

Ответ дал: mmb1
0
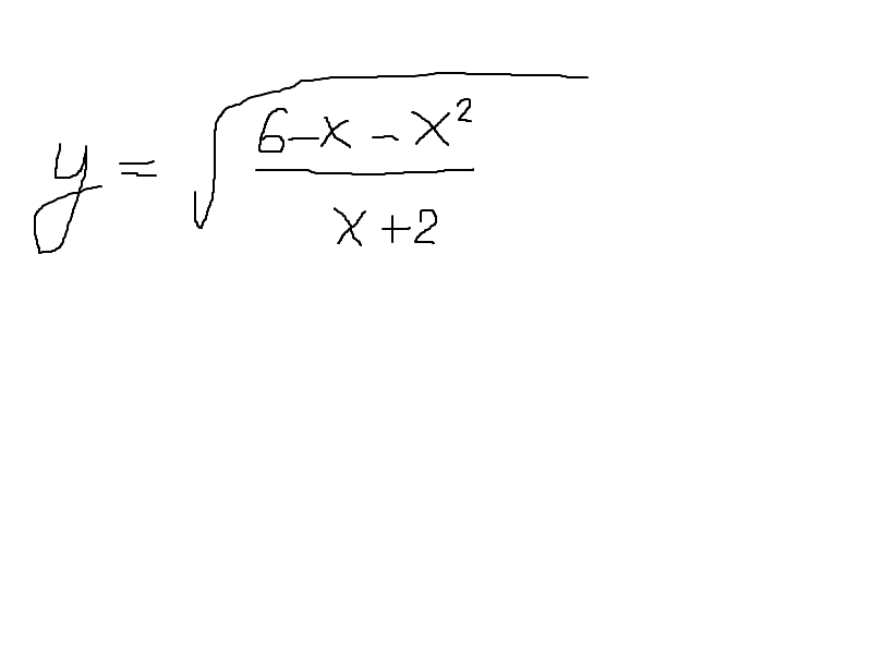
y=  sqrt{(6-x-x2)/(x+2)}
подкоренносе выражение больше 0
и знаменатель не равен 0
x neq -2
 x(12)=(1+-корень(1+4*6))/-2=(1+-5)/-2= -3 2
(2-x)(x+3)=2x+6-x2-3x=-x2-x-6
(2-x)(x+3)/(x+2)>=0
===========(-3)========)-2(=========(2)========
++++++++++        -------          +++++++        --------------
итого x (-бусконечности, -3] U (-2,2]
Вас заинтересует