• Предмет: Математика
  • Автор: denchik929292
  • Вопрос задан 8 лет назад

Нужно срочное решение

Приложения:

Ответы

Ответ дал: cambogiyt
0

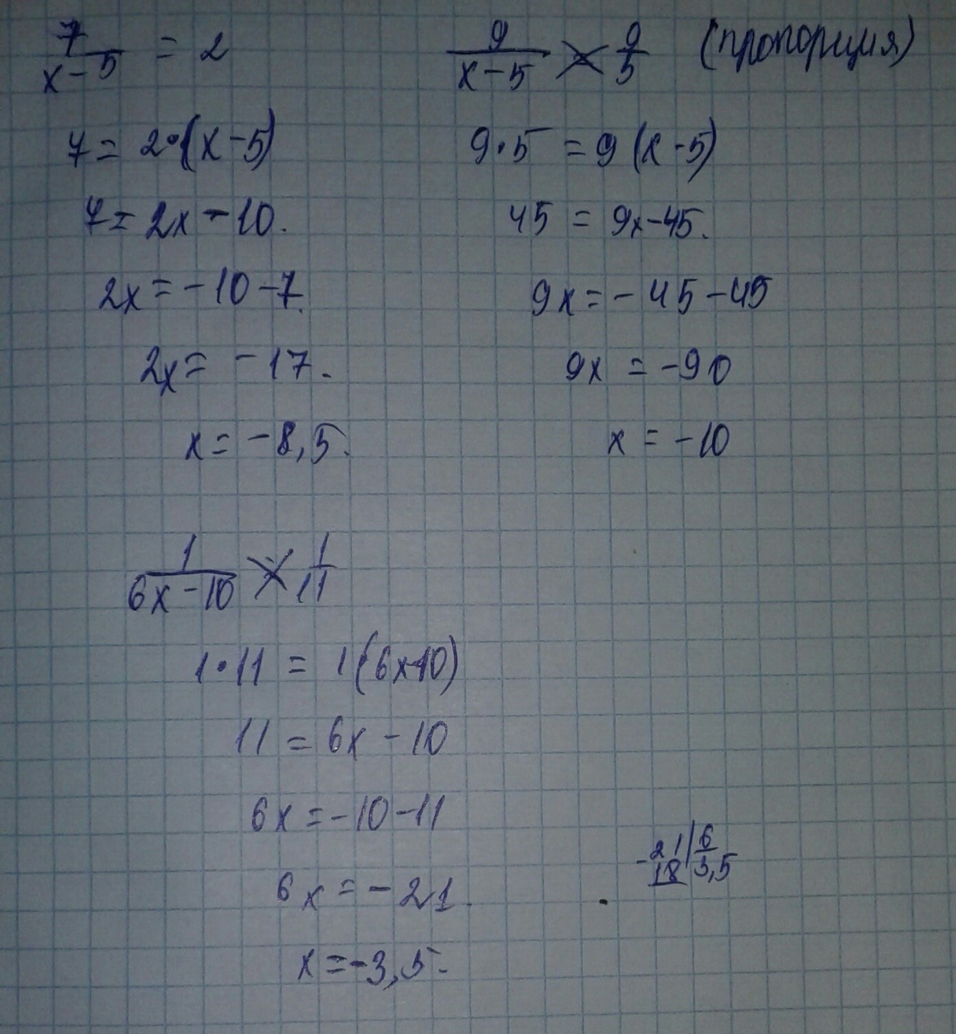
1) Домножим обе части на (x-5)

7=2(x-5) ⇒ 7=2x-10 ⇒ 2x=7+10 ⇒2x=17 ⇒ x=17/2=8,5

2) Домножим обе части на (x-5) и на 5

9*5=9(x-5) Разделим обе части на 9

5=x-5 ⇒ x=5+5=10

3)Домножим обе части на (6x-10) и на 11

11=6x-10 ⇒ 6x=11+10 ⇒ 6x=21 ⇒ x=21/6=3,5


Ответ дал: Munisa3333
0
надеюсь подробно можно и не обьяснять
Приложения:
Ответ дал: Munisa3333
0
там в ответах минусы не пишутся я ошиблась
Вас заинтересует