• Предмет: Алгебра
  • Автор: Аноним
  • Вопрос задан 8 лет назад

ученикам 7 класса дш ВОПРОС
решите систему уравнений

Приложения:

Ответы

Ответ дал: Аноним
0

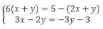
6(х + у) = 5 - (2х + у)

Сразу упростим

6х + 6у = 5 - 2х - у

6х + 2х + 6у + у = 5

8х + 7у = 5

3х - 2у = - 3у - 3

3х + 3у - 2у = - 3

3х + у = - 3

Итого у нас получается такая система уравнений

8х + 7у = 5

3х + у = - 3

Выражаем у

у = - 3 - 3х

Подставляем в первое уравнение

8х + 7(-3 - 3х) = 5

8х - 21 - 21х = 5

- 13х = 5 + 21

- 13х = 26

х = 26/(-13)

х = - 2

у = - 3 - 3(-2) = - 3 + 6 = 3

Ответ: х = - 2; у = 3

Вас заинтересует