Ответы
Ответ дал:
0
Ответ:
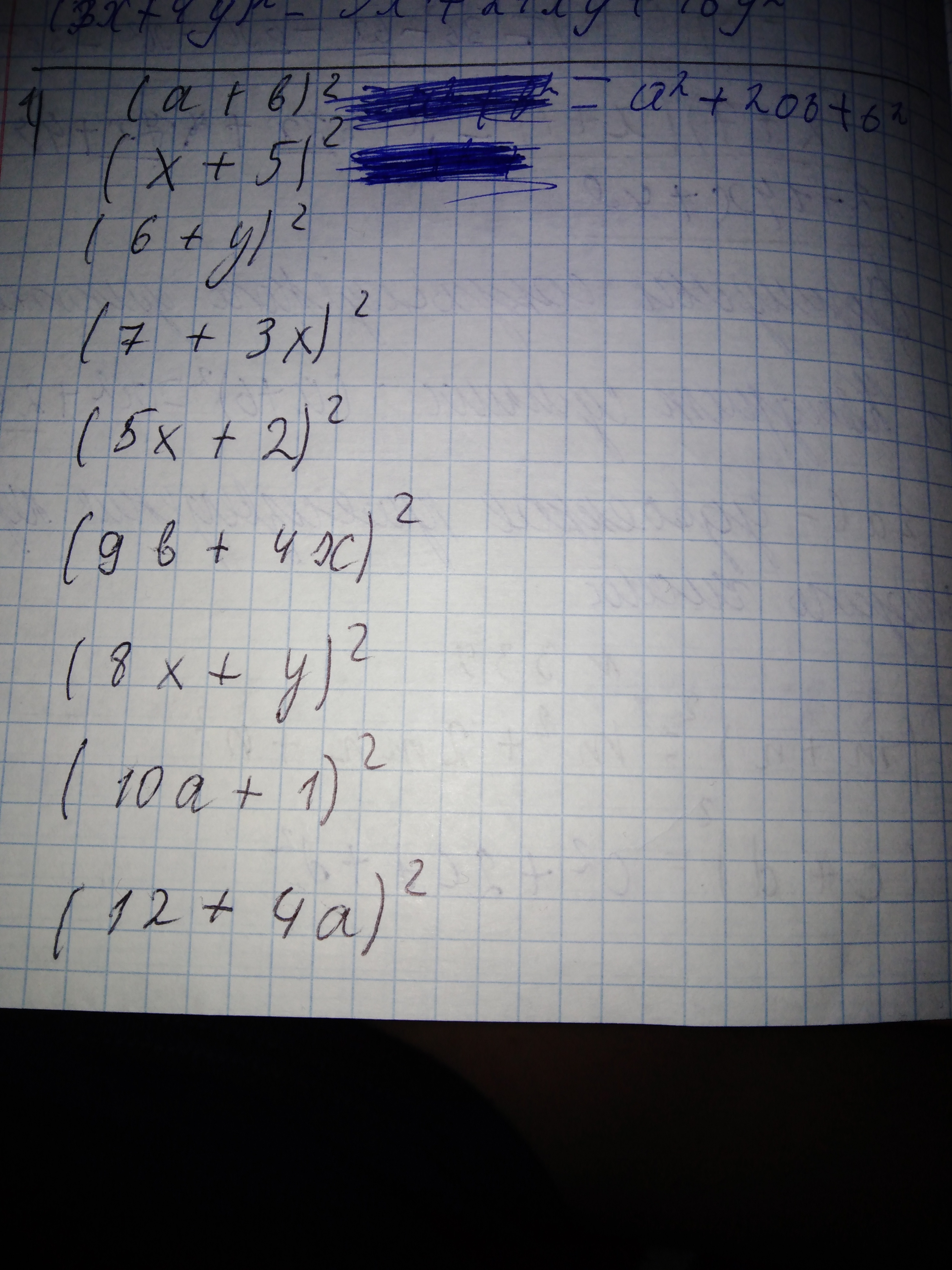
(x + 5)^2 = x ^2 + 10x + 25
(6 + y)^2 = 36 + 12y + y^2
(7 + 3x)^2 = 49 + 42x + 9x^2
(5x + 2)^2 = 25x^2 + 20x + 4
(9b + 4x)^2 = 81b^2 + 72bx + 16x^2
(8x + y)^2 = 64x^2 + 16xy + y^2
(10a + 1)^2 = 100a^2 + 20a + 1
(12 + 4a)^2 = 144 + 96a + 16a^2
Пошаговое объяснение:
Ответ дал:
0
^2 это квадрат
(a+b)^2=(a+b) (a-b)
(x+5)^2=(x+25) (x-25)
(6+y)^2=(36+y) (36-y)
(7+3x)^2=(49+9x) (49-9x)
(5x+2)^2=(25x+4) (25x-4)
(9b+4x)^2=(81b+16x) (81b-16x)
(8x+y)^2=(64x+y) (64x-y)
(10a+1)^2=(100a+1) (100a-1)
(12+4a)^2=(264+16a) (264+16a)
(a+b)^2=(a+b) (a-b)
(x+5)^2=(x+25) (x-25)
(6+y)^2=(36+y) (36-y)
(7+3x)^2=(49+9x) (49-9x)
(5x+2)^2=(25x+4) (25x-4)
(9b+4x)^2=(81b+16x) (81b-16x)
(8x+y)^2=(64x+y) (64x-y)
(10a+1)^2=(100a+1) (100a-1)
(12+4a)^2=(264+16a) (264+16a)
Вас заинтересует
2 года назад
2 года назад
3 года назад
9 лет назад
9 лет назад
10 лет назад