• Предмет: Алгебра
  • Автор: viktoriasokol02333
  • Вопрос задан 8 лет назад

срочнооооопж!!!!!!!!!!!!!

Приложения:

Ответы

Ответ дал: rahlis295365
0

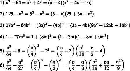
Здесь нужно применять формулы сумму и разность кубов.

Приложения:
Вас заинтересует