Ответы
Ответ дал:
0
Ответ:
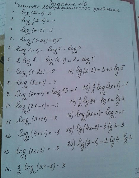
Могла ошибиться в подсчетах))) Кое-где сами посчитайте))
Пошаговое объяснение:
Приложения:

Ответ дал:
0
спасибо огромное я вам очень благодарна:)
Вас заинтересует
2 года назад
3 года назад
3 года назад
9 лет назад