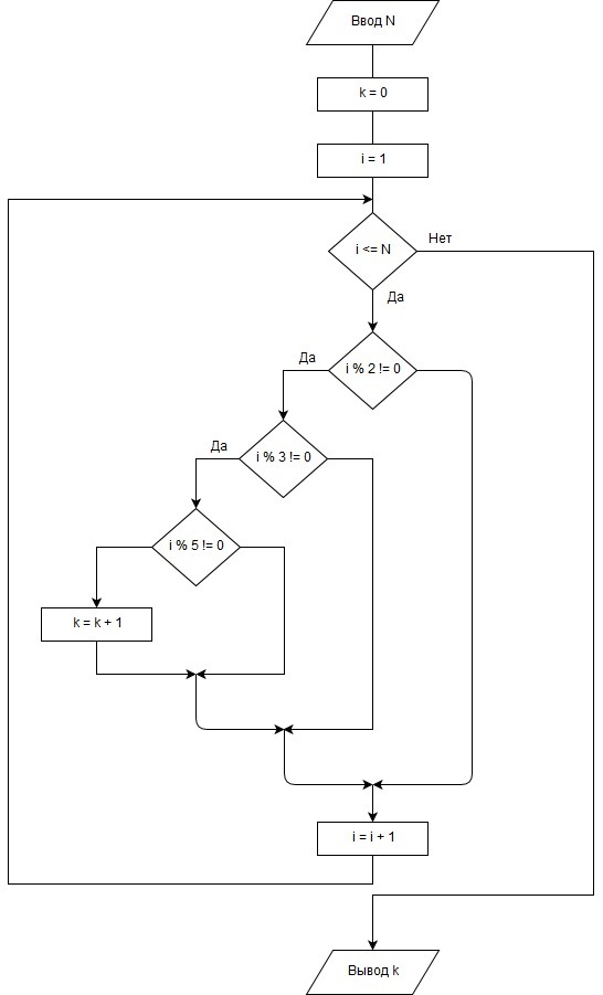
Найти количество натуральных чисел, не превосходящих N и не делящихся ни на одно из чисел 2, 3, 5 в виде схемы
Ответы
Ответ дал:
0
k - количество найденных натуральных чисел.
i - натуральные числа
Приложения:

Вас заинтересует
2 года назад
9 лет назад
9 лет назад
9 лет назад