Ответы
Ответ дал:
0
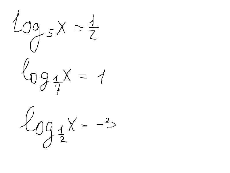
1/ log5 x=1/2
ОДЗ x>0
по определению логарифма
x=5^1/2= корень(5)
2. log1/7 x = 1
ОДЗ x>0
по определению логарифма
x=(1/7)^1=1/7
3/ log1/2 x = -3
ОДЗ x>0
по определению логарифма
x=1/2^-3=(2^-1)^-3=2^3=8
---------------
ОДЗ x>0
по определению логарифма
x=5^1/2= корень(5)
2. log1/7 x = 1
ОДЗ x>0
по определению логарифма
x=(1/7)^1=1/7
3/ log1/2 x = -3
ОДЗ x>0
по определению логарифма
x=1/2^-3=(2^-1)^-3=2^3=8
---------------
Ответ дал:
0
1)




по определению логарифма:
=>
[/tex] =>
x^2=5 =>
2)

по определению логарифма:
tex]x=frac{1}{7}[/tex]
3)


по свойству логарифма:
по определению логарифма:
=> x=8
по определению логарифма:
x^2=5 =>
2)
по определению логарифма:
tex]x=frac{1}{7}[/tex]
3)
по свойству логарифма:
по определению логарифма:
Вас заинтересует
3 года назад
8 лет назад
11 лет назад
11 лет назад