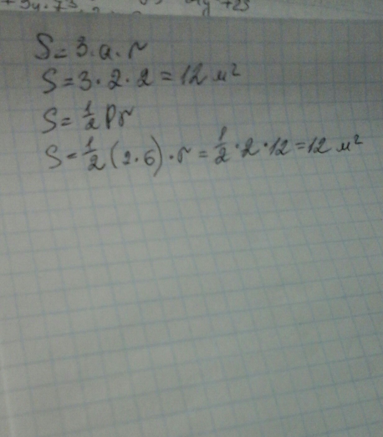
найдите площядь правильного шестиугольника, если радиус описанной около него окружности равен 2м
Ответы
Ответ дал:
0
где Р -периметр шестиугольника, а -сторона шестиугольника, r-радиус описанной окружности
Приложения:
Вас заинтересует
2 года назад
2 года назад
3 года назад
3 года назад
9 лет назад
9 лет назад
10 лет назад