Ответы
                                            Ответ дал: 
                                                                                    
                                        
                                            
                                                
                                                
                                                
                                                    0
                                                
                                            
                                        
                                    
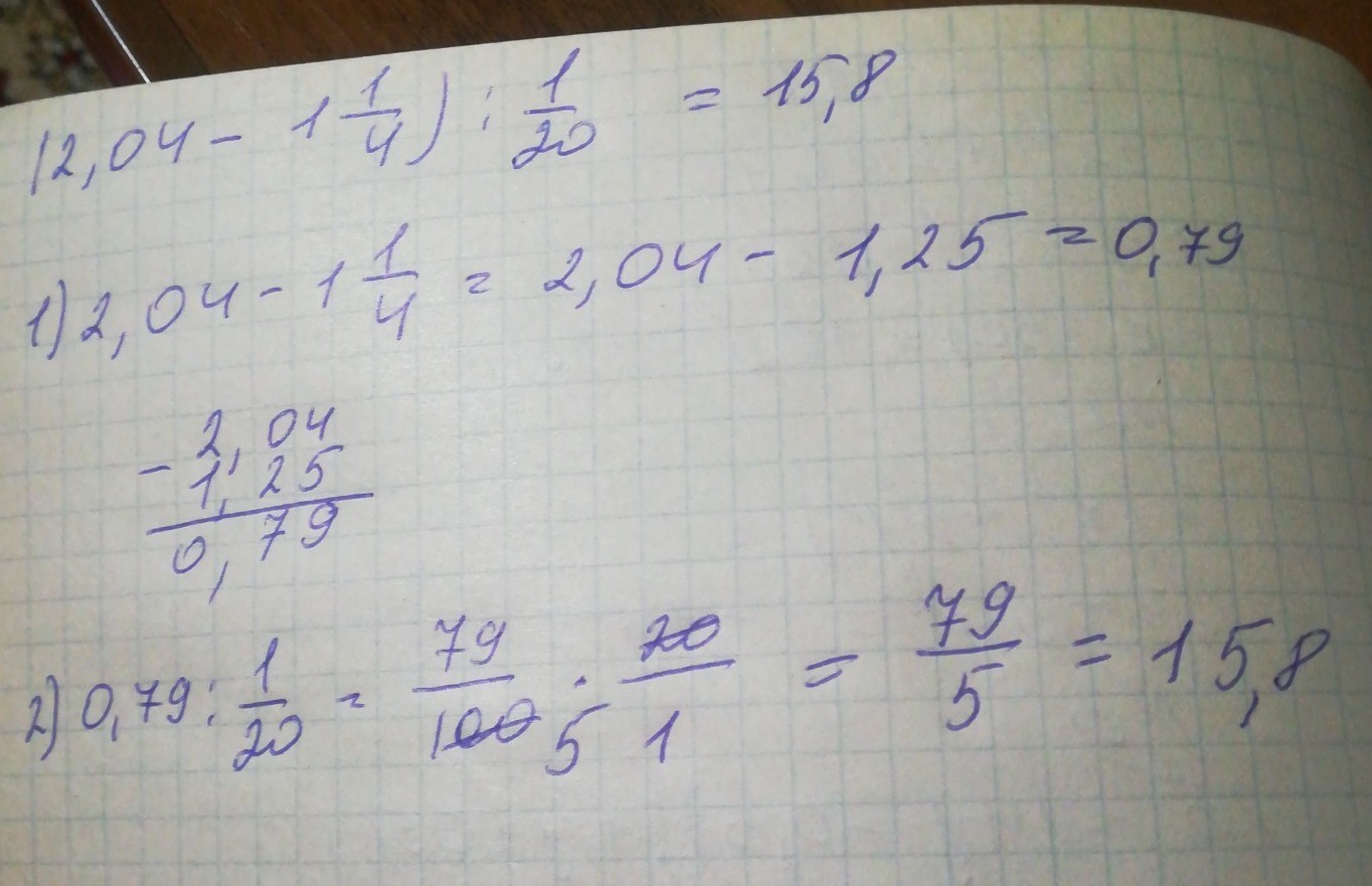
                                        Ответ:15,8
..............
                                                ..............
Приложения:
                     
                            
                                            Ответ дал: 
                                                                                    
                                        
                                            
                                                
                                                
                                                
                                                    0
                                                
                                            
                                        
                                    Ответ:
Пошаговое объяснение:
(2,04-1 1/4):1/20=(2,04-1,25):0,05=0,79:0,05=15,8
2 4/100-1 1/4=204/100-5/4=204/100-125/100=79/100
79/100:1/20=79/100*20/1=79/5=15 4/5=15,8
Приложения:
                     
                            Вас заинтересует
                
                        2 года назад
                    
                
                        3 года назад
                    
                
                        9 лет назад
                    
                
                        9 лет назад
                    
                
                        9 лет назад
                    
                
                        9 лет назад