• Предмет: Математика
  • Автор: YkharitonovaM
  • Вопрос задан 8 лет назад

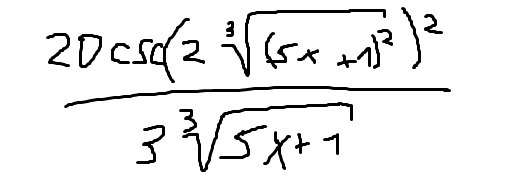
Найдите дифференциал
Пожалуйста

Приложения:

Ответы

Ответ дал: МаксУэл
0

Ответ:


Пошаговое объяснение:


Приложения:
Ответ дал: YkharitonovaM
0
Фотка не вместилась
Я там повторно кинула
Сможешь решить?
Вас заинтересует