• Предмет: Геометрия
  • Автор: Аноним
  • Вопрос задан 8 лет назад

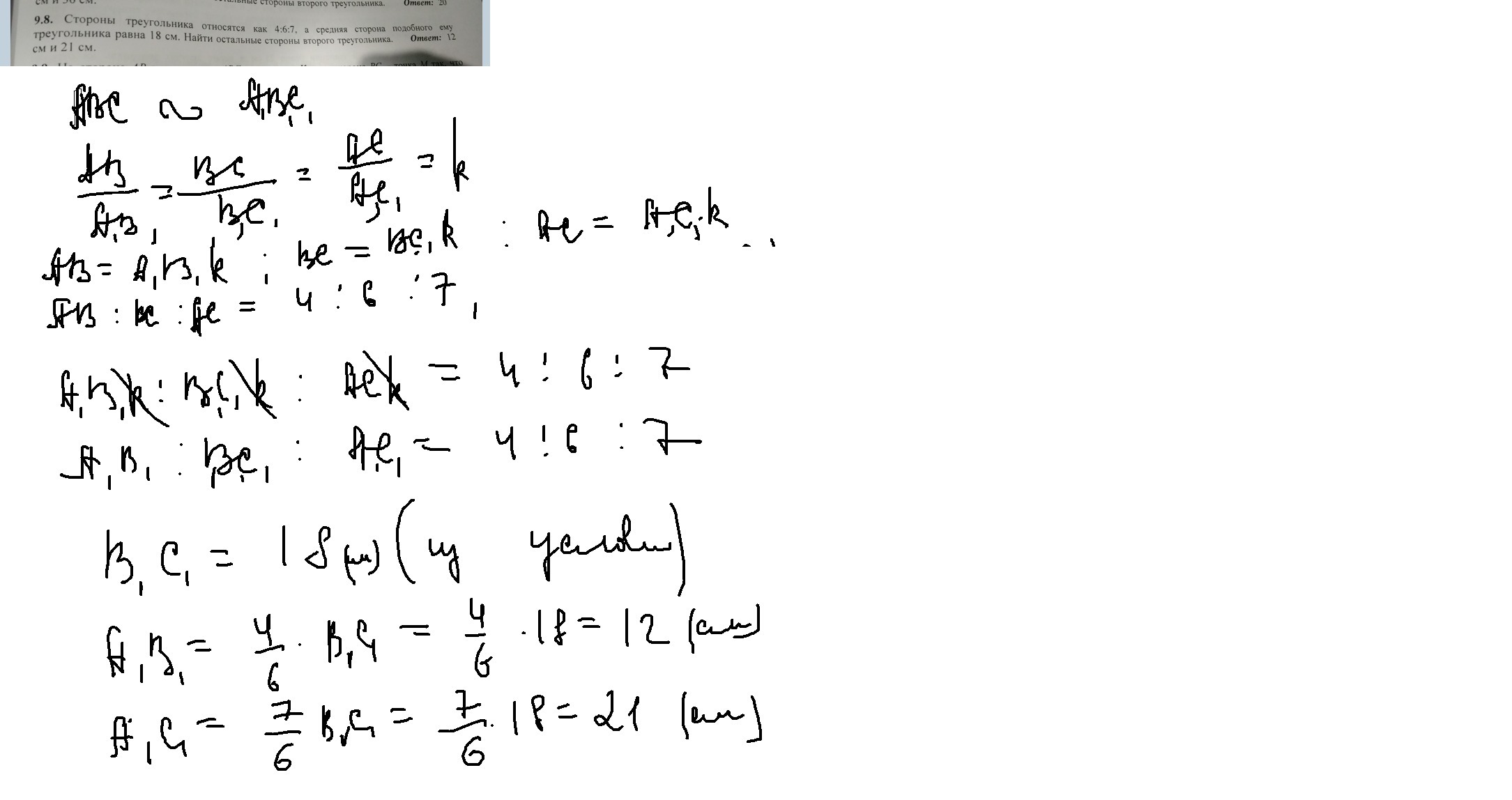
9.8.Решите Пж срочно

Приложения:

Ответы

Ответ дал: vikll
0

.Решите Пж срочно.Решите Пж срочно

Приложения:
Вас заинтересует