Ответы
Ответ дал:
0
Ответ:
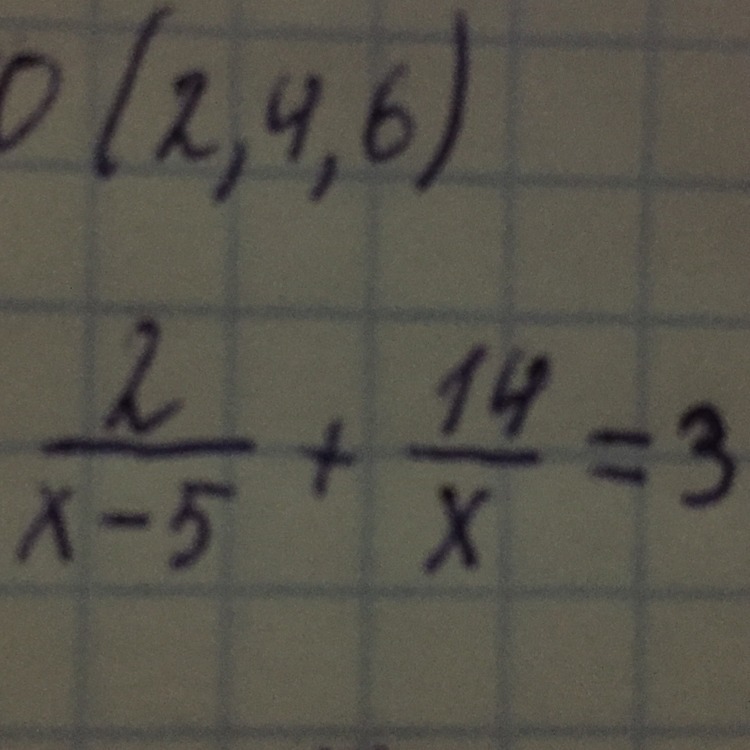
x1=10/3, x2=7
Пошаговое объяснение:
Приложения:





Вас заинтересует
2 года назад
2 года назад
3 года назад
3 года назад
8 лет назад
9 лет назад