Ответы
Ответ дал:
0
Ответ:
Пошаговое объяснение:
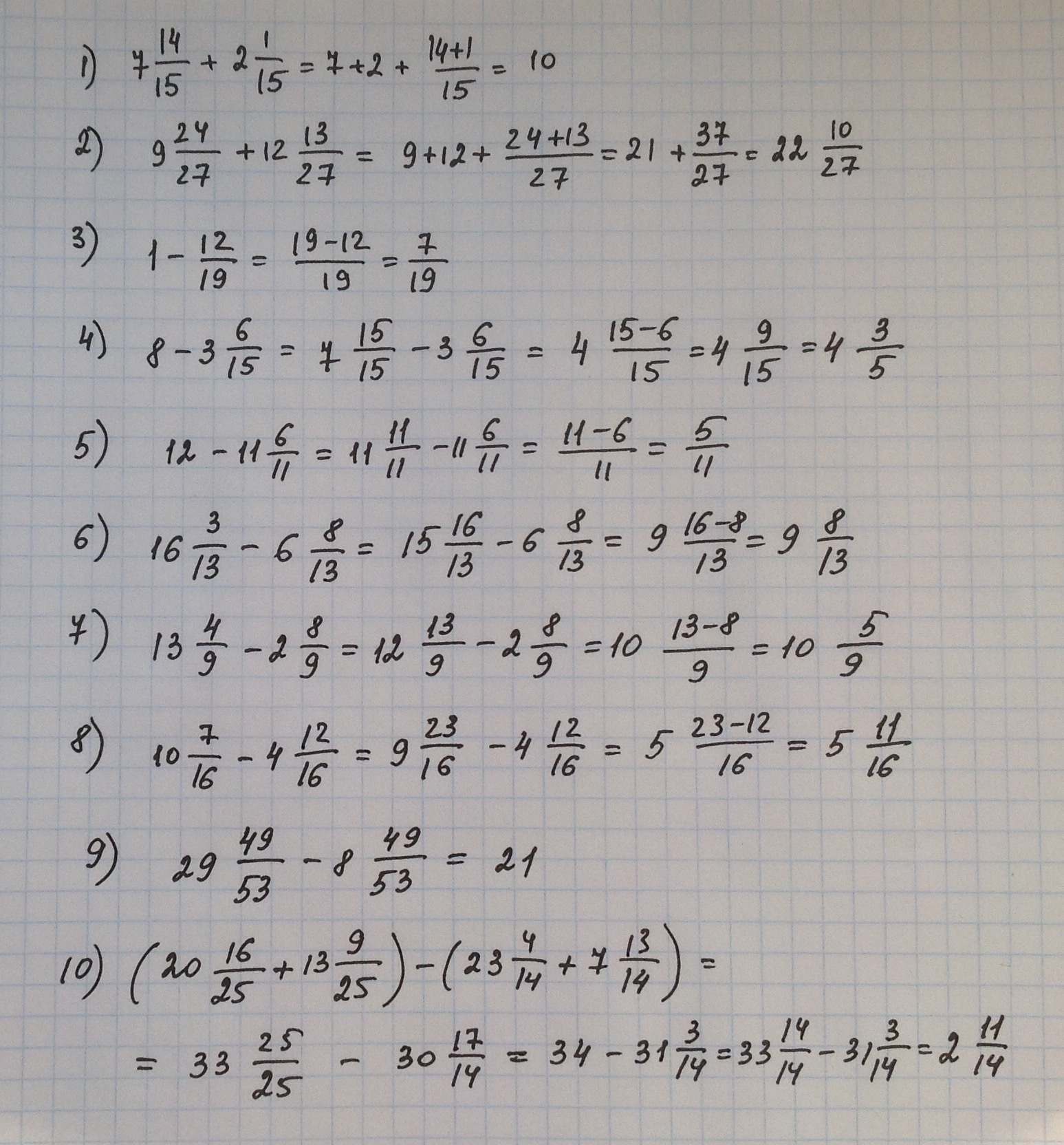
Ответ на фото///////////////////
Приложения:

Вас заинтересует
2 года назад
2 года назад
3 года назад
9 лет назад
9 лет назад
9 лет назад
9 лет назад